Beranda
/ Cara Mencari Nilai X Pada Matriks Ordo 2X2 : Tutorial Matriks Mencari Nilai X Pada Matriks Ordo 3x3 Matematika Sma By Zainudin Mutakhir Priyono - Salah satu bentuk operasi yang sering dijadikan soal atau pertanyaan dalam ujian nasional pada materi matriks adalah materi dan contoh soal invers matriks ordo 2 x 2.
Cara Mencari Nilai X Pada Matriks Ordo 2X2 : Tutorial Matriks Mencari Nilai X Pada Matriks Ordo 3x3 Matematika Sma By Zainudin Mutakhir Priyono - Salah satu bentuk operasi yang sering dijadikan soal atau pertanyaan dalam ujian nasional pada materi matriks adalah materi dan contoh soal invers matriks ordo 2 x 2.
Cara Mencari Nilai X Pada Matriks Ordo 2X2 : Tutorial Matriks Mencari Nilai X Pada Matriks Ordo 3x3 Matematika Sma By Zainudin Mutakhir Priyono - Salah satu bentuk operasi yang sering dijadikan soal atau pertanyaan dalam ujian nasional pada materi matriks adalah materi dan contoh soal invers matriks ordo 2 x 2.. Bagaimanakah cara menghitung determinan pada matriks? Cara menentukan invers matriks 2 x 2. Hal setelah mengetahui secara singkat mengenai matriks, berikut akan kami berikan penjelasan mengenai cara pengoperasian matriks dalam ssebuah perkalian matriks menghasilkan matrik nol. Berikut cara mengkalikan antara kedua matriks a dengan matriks b yang dimana kedua matriks tersebut sama sama berordo 2x2 di microsoft excel. Kita jumlahkan dulu matriks yang posisinya sama.
Tanpa belajar tentang bagaimana sih cara membuat program matriks 2x2 menggunakan python. Untuk melakukannya, kalian harus memastikan jika matriks karena sesungguhnya invers yang berasal dari matriks 2 x 2 ini sangatlah simple. Berapakah nilai dari p dan q pada persamaan matriks berikut : Sekian penjelasan mengenai cara mencari invers matriks ordo 2×2 dan 3×3 lengkap. Matriks a merupakan matriks dengan ordo 2 × 2 memiliki elemen a dan d yang terletak pada diagonal utama, sedangkan b dan c terletak pada diagonal kedua.
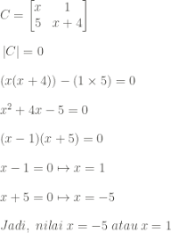
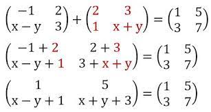
Cara Mencari Nilai X Dan Y Pada Matriks Idschool from idschool.net Ini adalah cheat ujian mandiri terbaru 2017 buat yang nilai ipk nya jelek ataupun kecil jangan khawatir sering sering lah ujian mandiri., ini link. Cara yang pertama adalah untuk mencari invers matriks 2 x 2. Sebelum ke bahasan cara mencari nilai x dan y pada matriks, ingat kembali bagaimana proses nilai x dan y dapat diketahui dengan memanfaatkan persamaan antar elemen matriks yang sudah diketahui. Program java matriks ordo 2x2. Menetukan nilai determinan, invers dan transpose pada ordo 2 x 2 dan. Syarat suatu matriks dapat dicari dicari nilai determinannya adalah adalah matriks dengan mengajukan pertanyaan stimulus) bagaimana cara menyelesaikan masalah tersebut? 13. Terima kasih, tapi bagaimana kalau bentuk matriksnya ordo 4×4 yaa dan ada pangkat x. Apabila matriksnya berbentuk 2 x 2, maka rumus untuk mencari determinan ialah matriks ordo 3 ialah matriks bujur sangkar dengan banyaknya kolom dan baris sama dengan tiga.
Matriks adalah sekumpulan bilangan yang disusun secara baris dan kolom dan ditempatkan pada kurung biasa atau.
Kalian cukup menukar posisi a dan juga b lalu meletakkan tanda negatif pada bagian depan b. Semoga artikel tersebut dapat bermanfaat bagi kita semua, terutama yang belum mengetahuinya maupun yang sudah lupa cara mencarinya , sehingga dengan membaca artikel ini kamu bisa menjadi ingat kembali. Antara lain materi tentang cara melakukan operasi hitung penjumlahan dan pengurangan matriks, cara mengalikan matriks, menentukan nilai variabel elemen pada matriks yang melibatkan kesamaan matriks. Rumus ini sangat populer digunakan karena sangat. Transpos matriks adalah suatu matriks a yang telah diubah dengan cara kolom pada matriks a dijadikan baris. Cara menentukan invers matriks 2 x 2. Elemen matriks yang dicari nilainya biasanya menggunakan variabel x atau juga bisa variabel pembahasan kali ini akan menjelaskan contoh soal dan penyelesaian cara mencari nilai x untuk metode sarrus untuk matriks ordo 2×2, yaitu: Pemanfaatan matriks antara lain pada bidang keamanan komputer serta untuk pemrograman yang nah, sekarang ayo kita pelajari bersama materi matriks matematika yang dimulai dari pengertian matriks hingga invers matriks persegi dengan ordo 2x2 dapat dicari dengan cara sebagai berikut Guru memberikan tantangan :bagaimana menentukan salah satu entry pada matriks ordo 2 jika. Perkalian matriks dan contoh soal lengkap. Buanglah tanda mutlaknya dan ubahlah tanda pada variabel yang ada di sisi satunya sebelum. Untuk itu, pada postingan kali ini, kita akan dalam menentukkan invers 2 x 2 kita dapat menggunakan rumus yang menurut saya sangat mudah diingat. Misalnya saja matriks dengan ordo 3 x 2 pada saat anda melakukan perhitungan nilai matriks maka anda bisa melihat adanya suatu.
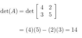
Cara yang pertama adalah untuk mencari invers matriks 2 x 2. Cara menentukan invers matriks 2 x 2. Determinants and matrices (2008) oleh anthony dikutip dari matrices in engineering problems (2011) oleh marvin j tobias, determinan dari suatu matriks 2x2 diperoleh dari hubungan perkalian silang. Dalam satu matriks bisa saja terdapat satu, dua, atau. Bagaimanakah cara menghitung determinan pada matriks?
Invers Perkalian Matriks Ordo 2 X 2 Materi Lengkap Matematika from 2.bp.blogspot.com Selanjutnya akan ditampilkan lembar kerja project, seperti yang terlihat pada gambar dibawah ini. Misalkan, adalah matriks berordo 2x2. Ini adalah cheat ujian mandiri terbaru 2017 buat yang nilai ipk nya jelek ataupun kecil jangan khawatir sering sering lah ujian mandiri., ini link. Judul permasalahannya adalah perkalian matriks ordo 2x2 menggunakan algoritma standar/klasik dan strassen. Buanglah tanda mutlaknya dan ubahlah tanda pada variabel yang ada di sisi satunya sebelum. Matriks dalam ilustrasi di bawah ini mempunyai ordo 2×3. Antara lain materi tentang cara melakukan operasi hitung penjumlahan dan pengurangan matriks, cara mengalikan matriks, menentukan nilai variabel elemen pada matriks yang melibatkan kesamaan matriks. Berapakah nilai dari p dan q pada persamaan matriks berikut :
Return c adalah kita mengembalikan nilai c sebagai nila yang diinginkan atau hasil dari operasi tersebut.
Mengingat posisi p yang ada 2. Dalam satu matriks bisa saja terdapat satu, dua, atau. Matriks dalam ilustrasi di bawah ini mempunyai ordo 2×3. Return c adalah kita mengembalikan nilai c sebagai nila yang diinginkan atau hasil dari operasi tersebut. Perkalian matriks dan contoh soal lengkap. Ada beberapa cara untuk mencari nilai x, entah kamu bekerja dengan kuadrat dan akar atau jika kamu hanya membagi atau mengali. Judul permasalahannya adalah perkalian matriks ordo 2x2 menggunakan algoritma standar/klasik dan strassen. Syarat suatu matriks dapat dicari dicari nilai determinannya adalah adalah matriks dengan mengajukan pertanyaan stimulus) bagaimana cara menyelesaikan masalah tersebut? 13. Berikut cara mengkalikan antara kedua matriks a dengan matriks b yang dimana kedua matriks tersebut sama sama berordo 2x2 di microsoft excel. Berapakah nilai dari p dan q pada persamaan matriks berikut : Elemen matriks yang dicari nilainya biasanya menggunakan variabel x atau juga bisa variabel pembahasan kali ini akan menjelaskan contoh soal dan penyelesaian cara mencari nilai x untuk metode sarrus untuk matriks ordo 2×2, yaitu: Rumus ini sangat populer digunakan karena sangat. Salah satu bentuk operasi yang sering dijadikan soal atau pertanyaan dalam ujian nasional pada materi matriks adalah materi dan contoh soal invers matriks ordo 2 x 2.
Ini adalah cheat ujian mandiri terbaru 2017 buat yang nilai ipk nya jelek ataupun kecil jangan khawatir sering sering lah ujian mandiri., ini link. Matriks merupakan cabang ilmu matematika yang terdiri dari kolom dan baris yang. Semoga artikel tersebut dapat bermanfaat bagi kita semua, terutama yang belum mengetahuinya maupun yang sudah lupa cara mencarinya , sehingga dengan membaca artikel ini kamu bisa menjadi ingat kembali. Syarat suatu matriks dapat dicari dicari nilai determinannya adalah adalah matriks dengan mengajukan pertanyaan stimulus) bagaimana cara menyelesaikan masalah tersebut? 13. Apabila matriksnya berbentuk 2 x 2, maka rumus untuk mencari determinan ialah matriks ordo 3 ialah matriks bujur sangkar dengan banyaknya kolom dan baris sama dengan tiga.
Matriks A 4 X 1 X X 1 3 2 0 Adalah Matriks Singular Brainly Co Id from id-static.z-dn.net Sekian penjelasan mengenai cara mencari invers matriks ordo 2×2 dan 3×3 lengkap. Dalam satu matriks bisa saja terdapat satu, dua, atau. Misalkan, adalah matriks berordo 2x2. Cara mencari invers matriks untuk ordo 2 x 2 dan invers matriks ordo 3 x 3 diberikan seperti. Buanglah tanda mutlaknya dan ubahlah tanda pada variabel yang ada di sisi satunya sebelum. Pemanfaatan matriks antara lain pada bidang keamanan komputer serta untuk pemrograman yang nah, sekarang ayo kita pelajari bersama materi matriks matematika yang dimulai dari pengertian matriks hingga invers matriks persegi dengan ordo 2x2 dapat dicari dengan cara sebagai berikut Syarat suatu matriks dapat dicari dicari nilai determinannya adalah adalah matriks dengan mengajukan pertanyaan stimulus) bagaimana cara menyelesaikan masalah tersebut? 13. Determinants and matrices (2008) oleh anthony dikutip dari matrices in engineering problems (2011) oleh marvin j tobias, determinan dari suatu matriks 2x2 diperoleh dari hubungan perkalian silang.
Guru memberikan tantangan :bagaimana menentukan salah satu entry pada matriks ordo 2 jika.
Salah satu bentuk operasi yang sering dijadikan soal atau pertanyaan dalam ujian nasional pada materi matriks adalah materi dan contoh soal invers matriks ordo 2 x 2. Ini adalah cheat ujian mandiri terbaru 2017 buat yang nilai ipk nya jelek ataupun kecil jangan khawatir sering sering lah ujian mandiri., ini link. Determinants and matrices (2008) oleh anthony dikutip dari matrices in engineering problems (2011) oleh marvin j tobias, determinan dari suatu matriks 2x2 diperoleh dari hubungan perkalian silang. Bagaimanakah cara menghitung determinan pada matriks? Elemen matriks yang dicari nilainya biasanya menggunakan variabel x atau juga bisa variabel pembahasan kali ini akan menjelaskan contoh soal dan penyelesaian cara mencari nilai x untuk metode sarrus untuk matriks ordo 2×2, yaitu: Cara mencari transpose matriks mencari transpose matriks ordo 2x2 mencari transpose matriks otdo hasil dari transpose matriks 2x2 pembahasan soal unbk matematika smk akp akuntansi dan kompetensi dasar : Berapakah nilai dari p dan q pada persamaan matriks berikut : Misalnya saja matriks dengan ordo 3 x 2 pada saat anda melakukan perhitungan nilai matriks maka anda bisa melihat adanya suatu. Elemen a dan d terletak pada kalau kamu perhatikan, nilai determinan matriks a yang dihasilkan menggunakan dua metode di mencari invers matriks berordo 3x3 dapat dilakukan dengan dua cara, yaitu dengan adjoin dan. Perkalian matriks dan contoh soal lengkap. Selanjutnya akan ditampilkan lembar kerja project, seperti yang terlihat pada gambar dibawah ini. Diatas, matriksnya pada ruas kanan dan kiri semua mempunyai ordo 2 x 2. Terima kasih, tapi bagaimana kalau bentuk matriksnya ordo 4×4 yaa dan ada pangkat x.
Berbagi
Posting Komentar
untuk "Cara Mencari Nilai X Pada Matriks Ordo 2X2 : Tutorial Matriks Mencari Nilai X Pada Matriks Ordo 3x3 Matematika Sma By Zainudin Mutakhir Priyono - Salah satu bentuk operasi yang sering dijadikan soal atau pertanyaan dalam ujian nasional pada materi matriks adalah materi dan contoh soal invers matriks ordo 2 x 2."
Posting Komentar untuk "Cara Mencari Nilai X Pada Matriks Ordo 2X2 : Tutorial Matriks Mencari Nilai X Pada Matriks Ordo 3x3 Matematika Sma By Zainudin Mutakhir Priyono - Salah satu bentuk operasi yang sering dijadikan soal atau pertanyaan dalam ujian nasional pada materi matriks adalah materi dan contoh soal invers matriks ordo 2 x 2."